电晕是极不均匀电场中产生的一种自持放电现象,伴有可听噪声、电晕损失和振动等效应.随着高压直流输电线路电压等级不断提高,直流输电线路电晕放电产生的电磁环境问题已成为线路设计的决定性因素之一,其中电晕放电产生的可听噪声问题因其是人们能够亲身感受到的,目前受到广泛关注。

发生电晕时在电极周围可以看到光亮
分析认为:当直流输电线路表面的场强高于起晕场强时,会引起导线附近的空气发生电晕放电;在放电过程中,导线附近的电子和空间离子在单一方向的强场作用下会被加速,快速地向另一极性导线或地面运动,在移动过程中往往会与空气分子发生非弹性碰撞将能量转移给空气分子;这种突然的能量转换会引起导线附近空气分子的振动,在导线附近产生脉冲声波。可听噪声就是脉冲声波通过空气分子振动传播的结果。
同时应注意到,输电线路电晕放电会产生离子风,使输电导线产生振动,对导线周围的空气分子产生影响。之前尚无研究验证这种电晕振动产生的影响是否和电晕噪声之间存在一定的关联。
试验平台
实验布置示意图如图1所示,采用方形电晕笼结构,边长为1m,电晕笼长度为1.5m,包括长1m的中间测量段和两段长0.25m的屏蔽段。实验中电晕笼接地,导线上施加直流电压,所用的直流电压源为AU-120R10。实验中同时测量电晕放电产生的可听噪声和导线的振动信号,其中导线振动采用激光测振仪PDV-100测量。


图1 实验布置图 (a.实验布置示意图,b.实验现场图)
试验结果和分析
1.导线电晕振动测量结果
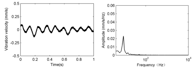
电压为-30kV、-88kV和88kV时,导线振动速度的时域波形及频谱分别如图2-图4所示。电压为-30kV时导线未起晕,而电压为88kV时导线已起晕。由于电晕放电,导线振动速度幅值明显增加。振动时域波形上没有明显的特征,正极性电晕放电振动信号的幅值要大于负极性电晕放电振动信号的幅值,而通过频域分析发现导线的电晕振动频率均小于1kHz,负极性电晕放电比正极性电晕放电产生更多的频谱分量。

图2 电压为-30kV时导线振动速度的时域波形及频谱

图3 电压为-88kV时导线振动速度的时域波形及频谱

图4 电压为88kV时导线振动速度的时域波形及频谱
2.导线电晕放电噪声测量结果
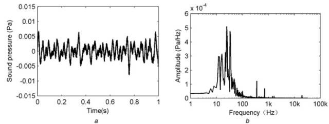
图5和图6中分别给出了实验过程中环境噪声及电压为-88kV时可听噪声的时域波形及相应的频谱,从结果可见,电晕放电产生的可听噪声呈双极性脉冲特性,具有较大的随机性,而放电产生的可听噪声的频谱在1kHz以上的频点上增加较为显著。相比于电晕放电产生的导线振动来说,两者之间没有明显的相关性。

图5 环境噪声的时域和频域特性(a.时域;b频域.)

图6 加载电压为-88kV时噪声的时域和频域特性
主要研究结论
1.导线的电晕振动信号无明显特征,导线的电晕振动幅值随着电压增大而明显增大;正极性直流导线电晕放电产生的电晕振动幅值大于负极性电晕放电时的电晕振动幅值;电晕振动的频谱主要由频率小于1kHz的频率分量组成。
2.电晕放电产生的噪声波形由一系列双极性声压脉冲组成,具有较大的随机性。电晕振动的频域特性和噪声之间基本无联系。尽管电晕放电时导线振动对导线周围的空气分子有一定的影响,但对电晕放电产生的噪声基本无影响。
研究展望
本文仅证实了导线电晕放电时产生的导线振动和噪声之间无关联,而导线电晕放电导致的导线振动的本征特性及其产生机理有待对进一步的试验和理论研究揭示。

